吸油面紙會越用越油嗎?控油迷思逐條破解

吸油面紙不會越用越油,皮脂分泌由荷爾蒙和皮脂腺活性控制,表面移除油脂不影響分泌速率。洗臉超過早晚各一次反而破壞屏障觸發代償性出油。油肌也需要保濕(出油≠不缺水)。油肌老得慢有部分道理(皮脂膜保護),但不代表不需要抗老。熱水洗臉破壞屏障,控油產品過度使用適得其反。

控油迷思破解:正確理解皮脂分泌機制
Photo by Laura Jaeger on Unsplash

油性肌最常聽到的保養建議,有一半以上是錯的。吸油面紙越用越油、洗臉越多次越乾淨、油肌不需要保濕……這些說法聽起來很有道理,但跟皮膚科學的研究結果完全相反。這篇文章整理 6 個最常見的控油迷思,用臨床證據逐條破解,幫你建立正確的控油觀念。

迷思一:吸油面紙會讓皮膚越用越油?

事實:皮脂分泌由荷爾蒙和皮脂腺活性控制,跟表面有沒有油無關

這大概是油肌圈最根深蒂固的迷思了。很多人相信「把表面的油吸走,皮脂腺會加速分泌來補充」,但這個說法沒有科學根據。皮脂腺的分泌速率主要受雄性素(androgen)調控,是由荷爾蒙、遺傳和皮脂腺本身的大小決定的。吸油面紙只是移除已經分泌到皮膚表面的油脂,不會向皮脂腺發送「快補油」的訊號。

根據Matsui 等人 2016 年發表於《International Journal of Molecular Sciences》的研究,皮脂分泌有明顯的晝夜節律,白天分泌量高於夜間,這個節律由生理時鐘驅動,跟你有沒有擦掉表面的油完全無關。所以放心用吸油面紙吧,它就是一張紙,不會讓你的皮脂腺更活躍。

迷思二:洗臉越多次越不油?

事實:過度清潔破壞屏障,皮膚反而更容易出問題

「出油就洗臉」是很多油肌的直覺反應,一天洗三四次的大有人在。但Choi 等人 2006 年刊登在《Pediatric Dermatology》的隨機對照試驗給出了很明確的答案:研究把受試者分成每天洗 1 次、2 次、4 次三組,追蹤 6 週。結果每天只洗 1 次的組別,丘疹和發炎病灶明顯增加;每天洗 2 次的組別改善最明顯,粉刺和非發炎病灶都顯著減少;洗 4 次的組別跟基準線比起來沒有額外好處。

過度清潔會帶走皮膚表面的天然保護脂質,破壞角質層屏障功能。屏障受損後,經皮水分散失(TEWL)增加,皮膚反而變得又油又乾。所以洗臉的黃金次數就是早晚各一次,搭配溫和的清潔產品就夠了。

迷思三:油肌不需要保濕?

事實:出油和缺水是兩件事,油肌也可能屏障受損

很多油肌覺得「我臉上已經這麼油了,幹嘛還要擦保濕?」問題是,出油量跟皮膚含水量是獨立運作的兩套系統。皮脂腺負責分泌油脂,角質層的神經醯胺和天然保濕因子負責鎖水。油多不代表水夠,尤其長期使用強效控油產品的油肌,角質層含水量反而偏低。

Detudom 等人 2023 年發表於《Journal of Cosmetic Dermatology》的臨床試驗實際測試了含左旋肉鹼和 EGCG 的抗皮脂保濕霜,結果三組受試者的皮脂量降低、皮膚含水量同步改善。這證明了一件事:選對配方的保濕產品,可以同時控油和補水。油肌的保濕重點是挑質地清爽、不含厚重封閉性油脂的產品,例如含玻尿酸或菸鹼醯胺(Niacinamide)的凝膠或精華液。

迷思四:油肌老得比較慢?

事實:皮脂膜確實有保護作用,但這不等於不需要抗老

這個迷思有一半是對的。皮膚表面的皮脂膜含有角鯊烯(squalene)、維生素 E 等脂溶性抗氧化成分,確實能提供一定程度的保護。De Luca 與 Valacchi 2010 年發表於《Mediators of Inflammation》的研究指出,皮膚表面脂質中的 α-生育酚和泛醌-10 構成抗氧化防線,可以中和部分環境傷害。

但這不代表油肌可以跳過抗老。皮脂膜的保護力有限,無法抵擋紫外線造成的膠原蛋白降解和光老化。而且根據Downing 等人 1989 年在《Clinics in Geriatric Medicine》的研究,皮脂分泌量隨年齡持續下降,年輕時候的高皮脂量優勢會逐漸消失。抗老的核心還是防曬加上維持屏障健康,膚質不是護身符。

迷思五:用熱水洗臉可以溶解油脂?迷思六:控油產品用越多越好?

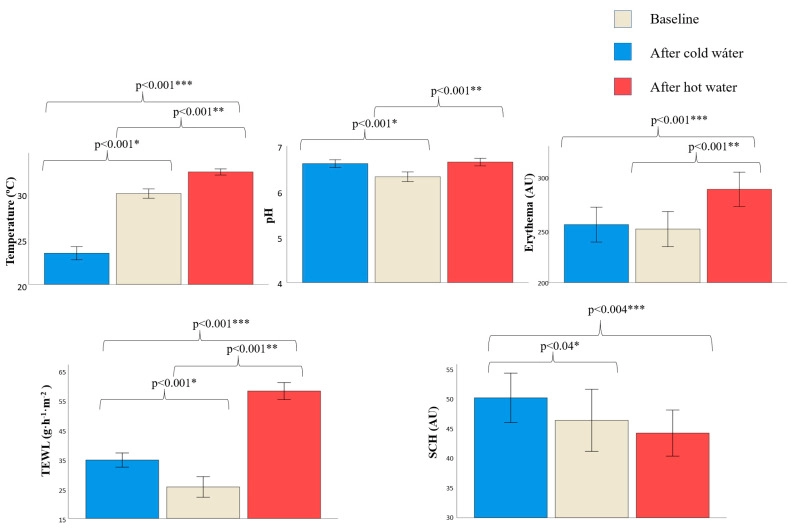
熱水洗臉:短暫「清爽」換來長期屏障損傷

「熱水能溶解油脂」這個邏輯用在洗碗上沒錯,但你的臉不是碗盤。Herrero-Fernandez 等人 2022 年發表於《Journal of Clinical Medicine》的研究實測了熱水(約 41°C)和冷水(約 11°C)對皮膚的影響,結果差異驚人:

  • 熱水浸泡 10 分鐘後,TEWL(經皮水分散失)從 25.75 飆升到 58.58 g·h⁻¹·m⁻²,增幅超過一倍
  • 冷水組 TEWL 只從 25.75 升到 34.96,增幅遠小於熱水組
  • 熱水組的皮膚紅斑值也從 249.45 升到 286.34 AU
熱水與冷水對皮膚屏障參數(TEWL、pH、紅斑值)的影響比較圖
圖片來源:Herrero-Fernandez et al., 2022, Journal of Clinical Medicine (PMC8778033), Figure 3. CC BY 4.0. 熱水浸泡後 TEWL 增幅(+32.83)遠大於冷水(+9.21),顯示熱水對皮膚屏障造成更嚴重的破壞。

從圖表可以清楚看到,熱水對皮膚屏障的破壞力是冷水的 3.5 倍以上。研究團隊的建議很直接:用微涼或溫水洗臉,水溫跟體溫差不多(32-34°C)就好。熱水帶走的不只是多餘的油脂,還有角質層裡幫你鎖水的細胞間脂質。

控油產品過度使用:刺激屏障反而適得其反

有些人的控油策略是「什麼控油就全上」:控油洗面乳、收斂化妝水、控油精華、控油粉餅層層疊加。問題是,多數控油產品含有酒精、水楊酸或高濃度收斂劑,全部同時使用等於反覆刺激角質層。屏障受損後 TEWL 上升,皮膚表面反而又油又脫屑,形成「越控越油」的惡性循環。

正確做法是「選一個有效的就好」,不要在同一個保養流程裡疊加多個控油成分。例如早上用含菸鹼醯胺 3-5% 的保濕精華控油,晚上用低濃度水楊酸清理毛孔,這樣的搭配已經足夠。

正確控油觀念 Checklist

把前面六個迷思的正確版本整理在一起,方便你隨時對照:

迷思事實
吸油面紙越用越油不會。皮脂分泌由荷爾蒙控制,表面移除油脂不影響分泌速率
洗臉越多次越不油每天 2 次最佳,4 次以上無額外益處,過度清潔反而破壞屏障
油肌不需要保濕出油和缺水是兩套系統,油肌也可能角質層含水量不足
油肌老得比較慢皮脂膜有一定保護力,但無法取代防曬,且皮脂量隨年齡下降
熱水洗臉溶解油脂熱水讓 TEWL 飆升超過一倍,用 32-34°C 溫水就好
控油產品越多越好疊加多個控油成分反而刺激屏障,選一個有效的就夠

簡單說,控油的核心邏輯是「溫和清潔 + 適度保濕 + 針對性控油」三步走。洗臉早晚各一次、水溫 32-34°C、保濕選清爽質地、控油成分挑一兩個有效的就好。過度折騰反而讓皮膚更失控。

想更深入了解油肌保養?

這篇文章破解了最常見的迷思,但控油是一門完整的功課。如果你想了解皮脂腺的運作原理、哪些控油成分真正有效、怎麼安排早晚保養流程,可以接著讀油肌完全指南:皮脂控制成分與保養流程,裡面有更完整的成分比較和步驟拆解。

不確定自己是不是油性肌?先試試 FindSkin 膚質檢測,做初步分類後再挑保養方向。想看手邊的控油產品成分是否適合自己?用 cosGlint App 掃描成分表,AI 即時分析安全性與適用性。

參考文獻

  1. Matsui MS, Pelle E, Dong K, Pernodet N. Biological Rhythms in the Skin. International Journal of Molecular Sciences. 2016;17(6):801. PMID: 27231897
  2. Choi JM, Lew VK, Kimball AB. A single-blinded, randomized, controlled clinical trial evaluating the effect of face washing on acne vulgaris. Pediatric Dermatology. 2006;23(5):421-427. PMID: 17014635
  3. Detudom C, Kamanamool N, Paichitrojjana A, Udompataikul M. Efficacy of anti-sebum moisturizing cream containing 2% l-carnitine and 5% epigallocatechin gallate in seborrhea: A randomized clinical trial. Journal of Cosmetic Dermatology. 2023;22(11):3123-3131. PMID: 37194909
  4. De Luca C, Valacchi G. Surface lipids as multifunctional mediators of skin responses to environmental stimuli. Mediators of Inflammation. 2010;2010:321494. PMID: 20981292
  5. Downing DT, Stewart ME, Strauss JS. Changes in sebum secretion and the sebaceous gland. Clinics in Geriatric Medicine. 1989;5(1):109-114. PMID: 2645990
  6. Herrero-Fernandez M, Montero-Vilchez T, Diaz-Calvillo P, Romera-Vilchez M, Buendia-Eisman A, Arias-Santiago S. Impact of Water Exposure and Temperature Changes on Skin Barrier Function. Journal of Clinical Medicine. 2022;11(2):298. PMID: 35053992

免責聲明:本文內容僅供教育與參考用途,不構成醫療建議。如有皮膚問題,請諮詢皮膚科醫師。